Jump back to chapter selection.
Table of Contents
5.1 Rate Equations for the Ideal Four-Level System
5.2 Relaxation Oscillations
5 Laser Rate Equations and Relaxation Oscillations
This chapter builds on the assumption that the reader is familiar with how lasers operate. Most modern lasers are diode-pumped solid-state lasers, typically pumped by high-power semiconductor diode arrays or bars. Since the individual diodes in such an array are not mutually coupled, the spatial coherence of the emitted pump beam is limited. Nevertheless, they are significantly brighter than flashlamps. More importantly, their much narrower spectral emission allows them to be tuned directly into an absorption line of the solid-state gain medium. This results in more efficient pump absorption and reduced thermal loading, especially when the pump photon energy is close to the upper laser level energy. A primary advantage of diode-pumped solid-state lasers is their ability to convert low-cost, low-beam-quality optical power from high-power diode arrays into a near-diffraction-limited output beam with high efficiency.
As the following figure illustrates, one can distinguish between longitudinally and transversally pumped schemes:
Longitudinal pumping generally offers superior pumping efficiency in the low-power regime because the pump volume can be well matched to the laser mode volume within the laser crystal. For the laser crystal itself, a distinction is made by the type of lasing transition. Most often, three-level and four-level systems are employed, as shown below:
The four-level system represents an ideal case, although careful design can also yield excellent performance from a three-level laser. The following discussion will focus on the ideal four-level laser system, for which the three-level system requires some modification. This is not discussed further here but is treated in my other notes here.
5.1 Rate Equations for the Ideal Four-Level System
We consider a homogeneously broadened laser medium within a linear resonator, which supports standing waves inside the cavity. The saturated gain coefficient is described by
where
Unless stated otherwise, we use amplitude gain and loss coefficients. The rate equations for the photon number inside the cavity laser mode,
where
Stimulated emission appears in both equations with opposite signs, signifying that a decrease in inversion leads to an increase in the photon number. The stimulated transition probability
where
5.1.1 Steady-State Solution
Steady-state is defined by a constant photon number
This simplifies the rate equations to
From the first equation, we can solve for the steady-state inversion
From the second equation, we find an alternative expression for the inversion:
We now define the threshold pumping rate
It is convenient to introduce the normalized pumping rate as the ratio of the pump rate to the threshold pump rate:
For a pump rate below threshold (
Above threshold (
Therefore, above threshold, the inversion remains constant even if the laser is pumped harder. We can summarise the two distinct behaviours:
This behaviour is illustrated in the following figure:
5.1.2 Gain-Saturation
The roundtrip amplitude gain in a linear cavity with a gain medium of length
Comparing this with the initial expression for saturated gain,
The small-signal gain coefficient
This relationship is shown in the following figure:
Above threshold, inversion clamping ensures that each additional absorbed pump photon is converted into a photon via stimulated emission. Consequently, the output power increases linearly with pump power.
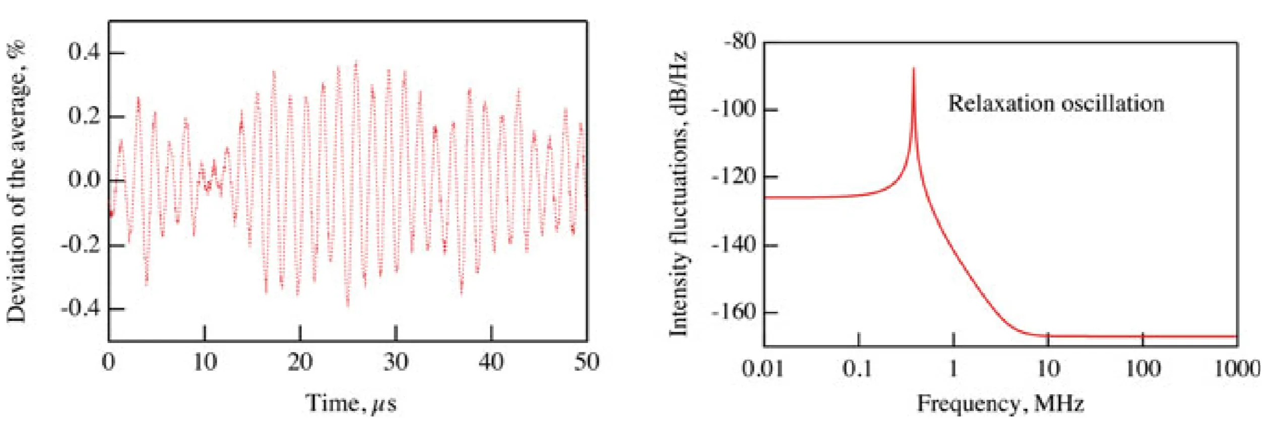
5.2 Relaxation Oscillations
As before, we consider the ideal four-level system. If the laser is briefly disturbed from its steady state, the photon number and inversion will deviate from their equilibrium values. It then takes a characteristic time to return to steady state. We can analyse this by linearising the rate equations for small perturbations,
We consider small perturbations while the laser operates above threshold (
Using the steady-state conditions
Similarly for the inversion:
The terms in the parenthesis sum to zero in steady state. This leaves
Using the above-threshold relations
5.2.1 Ansatz for Solutions After Perturbations
If the perturbation is short-lived, we expect the system to return to equilibrium. We thus propose an exponential ansatz for the perturbations:
For a stable laser, the real part of
The nature of the solution depends on the value of the discriminant.
Over-Critically Damped Laser
If the discriminant is positive,
In the limit where the stimulated decay rate is much larger than the cavity decay rate (
The system is called over-critically damped. After a perturbation, the laser returns to its steady state on timescales governed by the cavity photon lifetime and the stimulated lifetime of the laser level.
Under-Critically Damped Laser
If the discriminant is negative,
The solution for
The solution for the photon number perturbation takes the form of a damped sinusoid:
The real part of
while the imaginary part of
For many solid-state lasers, the cavity decay rate is much larger than the stimulated decay rate (
Here, we defined the stimulated lifetime
The relaxation frequency increases with the pump power (since
Therefore, the relative noise strength decreases for higher pump powers and shorter upper-state lifetimes.
5.2.2 Measurement of the Small-Signal Gain
Relaxation oscillations provide a simple method to determine the small-signal gain
For typical solid-state lasers like Nd:YAG, the upper-state lifetime
We can express the parameters in terms of measurable quantities. Using
For high-gain lasers where
By rearranging the formula, we can solve for the roundtrip small-signal gain
This relation allows for an accurate determination of the small-signal gain by measuring the relaxation oscillation frequency, the cavity roundtrip time, the total losses, and knowing the upper-state lifetime of the gain medium.





