Jump back to chapter selection.
Table of Contents
3.1 Characterisation of Ultrashort Pulses
3.2 RABBITT: Reconstruction of Attosecond Beating by Interference of Two-Photon Transitions
3.3 Attosecond Pulse Characterisation: FROG-CRAB
3.4 Control of Amplitude and Phase of an APT
3.5 Temporal Information Extracted from Attosecond Pulse Train (APT) Photoionisation Experiments
3.6 PROBE and PROBD
3.7 From RABBITT to Streaking Regime
3 Characterisation and Control of Attosecond Pulses
Before diving into the specifics of characterising attosecond pulses, it is instructive to briefly review the characterisation of more conventional ultrashort (femtosecond) optical pulses, as many underlying principles and challenges are related.
3.1 Characterisation of Ultrashort Pulses
3.1.1 Autocorrelation
The duration of short optical pulses can be readily estimated using the technique of autocorrelation. In a common setup, a pulse is split into two identical replicas, and these replicas are then made to overlap spatially inside a nonlinear crystal (often one that allows second-harmonic generation, SHG), with a variable relative time delay
This signal is non-zero only when the two pulse replicas overlap in time within the crystal. The width of the autocorrelation trace provides an estimate of the pulse duration (after deconvolution with a factor that depends on the pulse shape). However, it is important to note that this method only yields an estimate of the pulse duration and contains no information about the actual temporal profile of the pulse or its phase. Complete pulse characterisation requires knowledge of the spectral phase
3.1.2 FROG: Frequency-Resolved Optical Gating
The most widely used implementation of Frequency-Resolved Optical Gating (FROG) is SHG-FROG. In this technique, similar to autocorrelation, two replicas of the pulse
Here,
The FROG trace is a spectrogram of the pulse, containing information about both its amplitude and phase.
To retrieve the pulse's electric field
3.1.3 SPIDER: Spectral Phase Interferometry for Direct Electric-Field Reconstruction
Another powerful method for complete pulse characterisation is SPIDER. It is based on spectral interferometry, measuring the interference pattern in the frequency domain between a pulse and a replica of itself that has been shifted both in time (by
From this interferogram, the phase term
To generate the required spectral shear
SPIDER is a non-iterative and relatively fast method, directly yielding the spectral phase.
3.2 RABBITT: Reconstruction of Attosecond Beating by Interference of Two-Photon Transitions
The RABBITT technique enables the determination of the relative spectral phases of the harmonics within an attosecond pulse train (APT). It involves probing the photoionisation of a target gas by the APT in the presence of a time-delayed, weak portion of the fundamental infrared (IR) laser field that was used to generate the harmonics. The intensity of the XUV harmonics is typically low enough that ionisation occurs primarily through single-photon absorption (a linear process in XUV intensity).
In the absence of the IR field, the photoelectron spectrum generated by the APT (consisting of odd harmonics
where
When the weak IR field (frequency
where
The figure shows photoelectron spectra of argon: (a) ionisation by XUV harmonics only; (b) and (c) with both XUV harmonics and the IR field, for two different XUV-IR delays. The amplitudes of the sidebands oscillate as a function of the delay
- Absorption of a harmonic photon
followed by stimulated emission of an IR photon . - Absorption of a harmonic photon
followed by absorption of an IR photon .
The signal intensity
Here:
and are constants related to the transition amplitudes and harmonic intensities. and are the spectral phases of the two adjacent odd harmonics contributing to the sideband. is an additional phase contribution from the photoionisation process itself (the "atomic phase" or "continuum-continuum phase").
The sideband signal
The term
The RABBITT method is sensitive to any chirp present in the XUV pulse train (variation of harmonic phases) and also to the chirp of the IR probe pulse, making it a powerful diagnostic.
3.3 Attosecond Pulse Characterisation: FROG-CRAB
While RABBITT is suited for characterising attosecond pulse trains, different techniques are needed for single attosecond pulses (SAPs), especially those with continuous spectra. A prominent method is FROG-CRAB (Frequency-Resolved Optical Gating for Complete Reconstruction of Attosecond Bursts).
The goal is to determine the full electric field of the SAP,
Traditional femtosecond characterisation methods (autocorrelation, SPIDER, FROG) are generally not directly applicable to attosecond XUV pulses due to the lack of suitable fast detectors or efficient nonlinear optical materials in the XUV range, and the typically low photon flux of SAPs. Attosecond pulse characterisation therefore often relies on cross-correlation techniques where the SAP interacts with a time-delayed, intense, few-cycle infrared (IR) field (often the same laser used for HHG). The XUV pulse ionises a target gas, creating photoelectrons. The co-propagating, time-delayed IR field then "streaks" these photoelectrons, meaning it modifies their final momentum (and thus kinetic energy) depending on the instantaneous vector potential of the IR field at the moment of ionisation and during the electron's departure.
3.3.1 Attosecond Streaking and the Strong-Field Approximation
The core of FROG-CRAB is attosecond streaking. A single attosecond XUV pulse ionises atoms from a target gas. A synchronised, intense few-cycle IR laser pulse, with a variable time delay
Key differences from RABBITT include:
- The IR field in streaking is typically much stronger than in RABBITT, allowing it to significantly alter electron momenta rather than just enabling weak sideband transitions.
- Streaking is primarily used for SAPs with continuous (or quasi-continuous) spectra, whereas RABBITT analyses discrete harmonics in an APT.
- While both involve a photoemission delay, the interpretation in streaking can often be approached with a more classical picture for the electron's motion in the IR field after ionisation, whereas RABBITT explicitly relies on quantum interference.
A quantum mechanical description of attosecond streaking typically employs the Strong-Field Approximation (SFA). The SFA involves several key assumptions:
- Single Active Electron Approximation: Only one electron participates in the ionisation.
- Neglect of Coulomb Potential in Continuum: Once ionised, the photoelectron's motion is governed solely by the laser fields; the influence of the parent ion's Coulomb potential is neglected.
- Two-Step Model: Transition is from the ground state directly to Volkov continuum states (dressed by the IR field); influence of other bound atomic states is ignored.
Within the SFA, the transition amplitude
where
Here:
is the XUV-IR delay. is the electric field of the XUV pulse. is the vector potential of the IR field. is the instantaneous kinetic momentum. is the dipole transition matrix element to the continuum state with momentum . is the ionisation potential.
The termis the Volkov phase, representing the phase accumulated by the electron in the IR field after ionisation. The IR field's primary role is to induce this ultrafast phase modulation on the electron wavepacket launched by the XUV pulse.
FROG-CRAB: A FROG Analogy
The measured photoelectron energy spectrum as a function of delay,
By rearranging the SFA transition amplitude, it can be shown that the streaking spectrogram resembles a FROG trace where the XUV pulse effectively creates an initial electron wavepacket, and the IR field acts as a phase gate. This is the basis of FROG-CRAB.
To retrieve the temporal phase and intensity profile of the attosecond pulse, various iterative algorithms adapted from FROG, such as Principal Component Generalised Projection Algorithm (PCGPA), are used.
Central Momentum Approximation and Key Assumptions
A crucial simplification often made is the Central Momentum Approximation (CMA): the final momentum
The FROG-CRAB equation can then be written as:
where
FROG-CRAB offers significant advantages: versatility for different pulse types (isolated SAPs, APTs), robustness against noise due to information redundancy, and simultaneous characterisation of both XUV and IR pulses. The retrieved IR field can be cross-checked, validating the measurement.
However, limitations exist. Accurate reconstruction can be challenging for extremely short pulses (sub-100 as) or complex temporal structures (like satellite pulses), where SFA/CMA assumptions may falter. The technique is also sensitive to chirp on both XUV and IR pulses, which can manifest as distortions in the streaking trace.
3.4 Control of Amplitude and Phase of an APT
The RABBITT method determines the relative spectral phase
where
is the XUV group delay difference centred around photon energy
Experimental measurements often show that
Although experimental optimisation of HHG conditions can minimise this attochirp, it often cannot be completely eliminated at the source. To compensate for a positive chirp (where higher frequency components arrive later) accumulated during HHG, the generated APT can be propagated through a material or structure exhibiting negative group delay dispersion (GDD) in the XUV range. Thin metallic filters (such as aluminium, zirconium, or tin) can serve this purpose over specific XUV energy ranges, effectively compressing the attosecond bursts closer to their transform limit.
3.5 Temporal Information Extracted from Attosecond Pulse Train (APT) Photoionisation Experiments
In characterising APTs with the RABBITT method, the atomic phase contribution,
The photoionisation delay associated with the two-photon process contributing to the sideband
Using this, the sideband signal expression becomes:
The total measured phase shift of the
The two-photon atomic delay,
where
It is crucial to remember that the RABBITT method relies on the validity of second-order perturbation theory for the IR interaction, necessitating low IR intensities (typically
3.6 PROBE and PROBD
While FROG-CRAB is a widely used and robust technique for characterising SAPs, it has two notable limitations:
- The Central Momentum Approximation (CMA) can become inaccurate and restrict its applicability when characterising very broadband SAPs (where the XUV bandwidth is a significant fraction of its central energy).
- The iterative retrieval algorithm used in FROG-CRAB might struggle to converge or yield accurate results, particularly when mid-IR pulses (with longer periods and more complex vector potentials over the XUV pulse duration) are employed as the streaking field.
In this section, two advanced retrieval methods, PROBD and PROOF, are introduced that aim to address these limitations. They can be more effective for broadband SAPs and can improve accuracy compared to standard FROG-CRAB under certain conditions.
3.6.1 PROBD
PROBD stands for Phase Retrieval Of Broadband Pulses by Deconvolution. The starting point is the same SFA-based equation for the streaking spectrogram
with the Volkov phase
Unlike standard FROG-CRAB, PROBD aims to solve this equation without making the CMA (so without approximating
For broadband XUV pulse characterisation with PROBD, it is often assumed that the amplitude and phase of the dipole transition matrix elements
In PROBD, these unknown functions (XUV spectral phase and IR vector potential) are often expanded using a suitable basis set, such as B-spline functions:
where
The following example illustrates an XUV pulse with a duration of 52 as, a central photon energy of 80 eV, and a spectral bandwidth of 90 eV. For such a broadband pulse, FROG-CRAB (relying on CMA) might fail to retrieve the XUV phase accurately, while PROBD, by avoiding CMA, could successfully reconstruct both the spectral phase and the time-domain intensity of the XUV pulse.
This example would clearly demonstrate that the CMA can be inadequate for very broadband XUV pulses.
3.6.2 PROOF
PROOF stands for Phase Retrieval by Omega Oscillation Filtering. It can be seen as a generalisation of the RABBITT technique applicable to the characterisation of single attosecond pulses (SAPs), particularly those with relatively continuous spectra. PROOF is most suitable when the IR streaking intensity is sufficiently weak to allow the use of second-order perturbation theory for modelling the interaction part of the streaking trace.
Consider photoelectrons detected along the polarisation axis of collinear XUV and IR pulses, and assume a monochromatic IR field for simplicity in the derivation. Under second-order perturbation theory, the streaking spectrogram
where higher-order terms in the IR field strength
is the central XUV photon energy leading to photoelectron energy via one-photon absorption. is the IR frequency. is the transition dipole matrix element for single XUV photon absorption. are the two-photon transition dipole matrix elements involving one XUV photon and the absorption ( ) or emission ( ) of one IR photon.
Expanding this expression to the lowest orders in
where
For a fixed electron energy
where the amplitudes
From the experimental spectrogram
Since PROOF operates in the weak IR field regime (intensities typically below
3.7 From RABBITT to Streaking Regime
This discussion is informed by concepts similar to those in the paper 'Equivalence of RABBITT and Streaking Delays'.
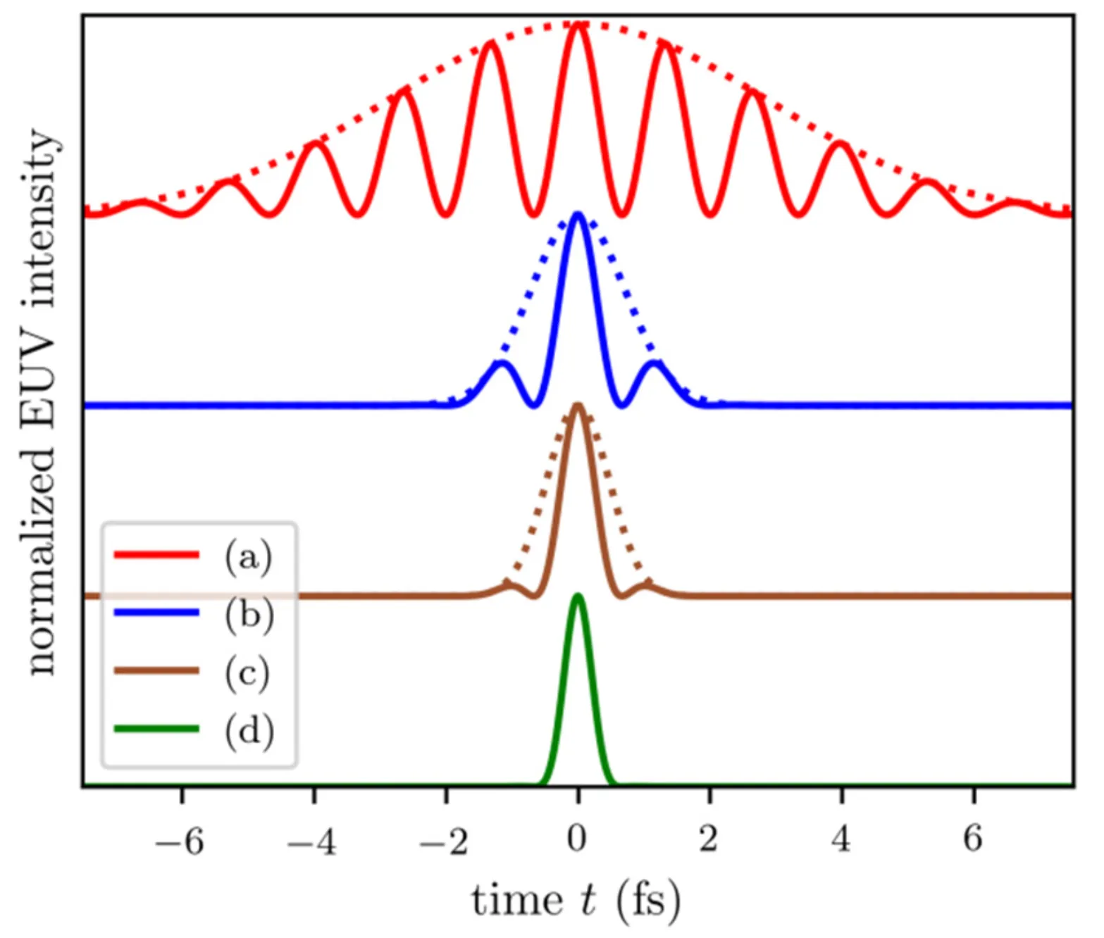
The transition from the conditions of a RABBITT experiment (typically using an APT and a weak IR field) to those of a streaking experiment (typically using an SAP and a strong IR field) can be conceptually demonstrated by considering the effect of successively reducing the XUV pulse (or pulse train envelope) duration. A shorter XUV pulse in the time domain implies a broader corresponding XUV excitation spectrum. This is illustrated in the following figures:
The solid line represents the normalised intensity of the XUV excitation pulses (or individual bursts within an APT envelope), corresponding to the spectra shown in the next figure. The dashed line is the overall pulse train envelope.
- In a 'pure' RABBITT experiment, such as shown in (a) with a relatively long XUV envelope (say, 6.7 fs FWHM for the envelope of the APT), the XUV spectrum consists of well-defined discrete harmonic lines (for instance, at the 59th and 61st harmonic orders). The interference between pathways involving adjacent harmonics gives rise to the
sideband oscillations. - As the duration of the XUV excitation (either the overall APT envelope or the individual attosecond bursts if considering SAP generation) is reduced, its spectrum broadens. When the spectral width of individual harmonic orders becomes comparable to their
spacing, the harmonic peaks begin to merge. - In the 'pure' streaking limit, if an isolated attosecond pulse is used (or if the APT envelope is so short that only one burst effectively interacts), the XUV spectrum becomes continuous or quasi-continuous. In figure panels (b) and (c), with progressively reduced pulse durations (implying broader spectra), the distinct sidebands characteristic of RABBITT become less prominent or merge into a broader, continuously streaked photoelectron spectrum. The main features of the APT (if still present) become more pronounced as individual, temporally shorter events. When a single attosecond pulse with a broad continuous spectrum ionises the atom, the IR field streaks the entire continuous photoelectron wavepacket, rather than modulating discrete sidebands.









